作者:齐燕妮 来源:作物研究所
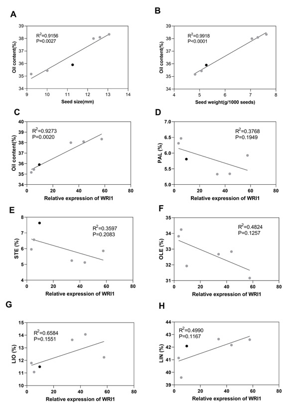
近日,由我院作物所胡麻研究团队完成的科研论文《Overexpression of WRINKLED1improves the weight and oilcontent in seeds of flax (Linumusitatissimum L.)》在《Frontiers in Plant Science》(IF:6.627)上在线发表。本研究克隆到胡麻LuWRI1a和LuWRI1b基因,研究发现LuWRI1a主要在胡麻种子发育过程中表达,在拟南芥中过表达LuWRI1a增加了种子大小、重量和含油率,在胡麻中过表达LuWRI1a同样提高了种子含油率,而且不影响产量和油的品质。进一步研究表明,过表达LuWRI1的胡麻种子含油率提高主要和种子千粒重的增加相关,此外,LuWRI1a的过表达上调了脂肪酸生物合成途径中相关基因,而且与L1L、LEC1和BCCP2等基因表达水平显著正相关。本研究为通过生物育种技术培育高含油量的胡麻品种提供了理论基础。 李闻娟副研究员为论文的第一作者,张建平研究员为通讯作者。该研究得到我院生物育种专项、国家自然基金、国家特色油料产业技术体系和甘肃省自然基金等项目的共同支持。 原文链接:https://www.frontiersin.org/articles/10.3389/fpls.2022.1003758/full 

|